Tencent выложила в публичный доступ две новые модели машинного перевода — HY‑MT1.5-1.8B и HY‑MT1.5-7B. И если младшая модель почти сразу взлетела на первое место в трендах Hugging Face, то старшая — это серьёзная заявка на то, чтобы стать новой опенсорс‑SOTA в своей нише.
HY‑MT1.5-1.8B — модель оптимизирована для потребительского железа, занимает около 1 ГБ памяти и демонстрирует впечатляющую скорость: 0,18 с задержки на генерацию 50 токенов. Как утверждают разработчики, она не просто быстрая, но и по качеству превосходит многие мейнстримные коммерческие API. Достигается это за счёт продвинутой дистилляции, когда компактная модель учится, подражая поведению более крупных и мощных собратьев.
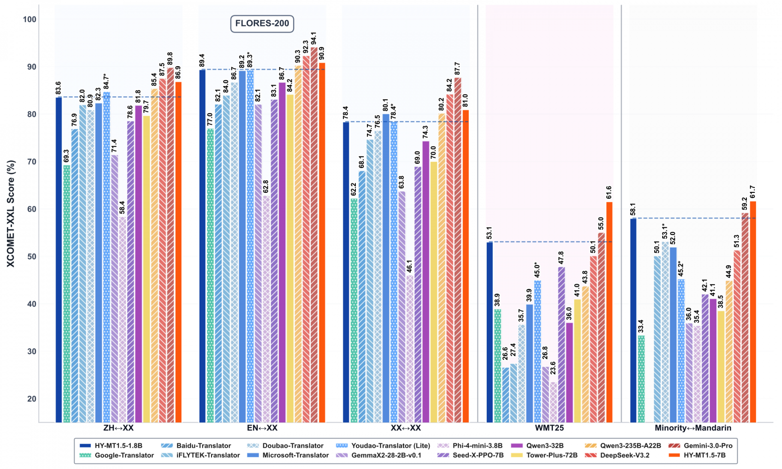
HY‑MT1.5-7B — это тяжелая артиллерия для облака. Её производительность уже сравнима с 90-м процентилем таких закрытых гигантов, как Gemini 3.0 Pro, что открывает дорогу для создания высококлассных сервисов на открытом коде.
Помимо raw‑мощи, обе модели получили набор фич для продакшена:
33 языка и 5 диалектов. Поддержка включает не только основные мировые языки, но и, например, кантонский и тамильский.
Вмешательство в терминологию. Можно задать, как конкретный термин должен переводиться.
Контекстуальный перевод. Модель учитывает предыдущие реплики в диалоге или абзацы в документе для более связного и точного перевода.
Сохранение форматирования. Модель обучена работать с текстом, содержащим разметку (вроде тегов <sn>), и стараться сохранять её в выводе.
Tencent подготовила набор квантизированных версий:
FP8-квантизация для максимального баланса скорости и качества.
INT4 (GPTQ) для сверхкомпактного деплоя.
GGUF‑формат для любителей llama.cpp.
Это значит, что модель можно запустить практически на чём угодно — от сервера с GPU до достаточно современного ноутбука или даже одноплатника. Для квантизации Tencent использовали свой фреймворк AngelSlim.
Для удобства облачного развёртывания 7B‑версии уже есть Docker‑образ.
Полезные ссылки:
Коллекция моделей на Hugging Face: https://huggingface.co/collections/tencent/hy‑mt15
GitHub‑репозиторий: https://github.com/Tencent‑Hunyuan/HY‑MT
Демо и страница модели: https://hunyuan.tencent.com/modelSquare/home/list
Хотите быть в курсе важных новостей из мира ИИ? Подписывайтесь на наш Telegram‑канал BotHub AI News.
